cerita untuk pertandingan bercerita sekolah rendah

SKRIP CERITA PERTANDINGAN BERCERITA BAHASA MELAYU TAJUK CERITA. Marilah membaca cerita-cerita pendek.


Kertas Konsep Bercerita Sekolah Rendah 2018 Pdf

Johan pertandingan bercerita bahasa.

. Singa yang sombong ellyana lumai selamat pagi dan salam sejahtera semua. Sudah menunjukkan pukul 1230. Banyak haiwan yang telah menjadi mangsanya.

Sekolah rendah kertas konsep 70 kriteria penghakiman pertandingan cerita. Nur ismah auni binti noor hisham tajuk cerita. Pertandingan bercerita bahasa melayu sekolah rendah kategori tahap 1.

Pertandingan bercerita bahasa melayu tahap 1 peringkat negeri pahang 2016. Dengarlah cerita saya pada hari ini yang bertajuk sang kancil dengan. Skrip pertandingan bercerita bahasa.

Dengan ini aktiviti bercerita sangat sesuai untuk. SYARAT-SYARAT PERTANDINGAN BERCERITA SEKOLAH RENDAH KATEGORI BAHASA MELAYU SAHAJA 1. 5343 Cerita tersebut perlu pelbagai jenis dan tema.

Langkah demi langkah dari mula hingga akhir teks pertandingan bercerita tahap 1. Bernadetteâs convent batu gajah perak. 51 Isi cerita mestilah mengandungi.

Pertandingan bercerita sekolah rendah tahap 1 pusingan spontan peringat daerah pontian tahun 2021. Dengan ini aktiviti bercerita sangat sesuai untuk dipertandingkan. Justeru Pertandingan Bercerita Bahasa Melayu Sekolah Rendah Kategori Tahap 1 2 wajar dijadikan.

AIRMATA KEINSAFAN Naemah melihat jam di tangan kanannya. SKRIP CERITA TAHAP 1 SI TANGGANG ANAK DERHAKA Hei Perempuan tua jangan. Contoh Teks Pertandingan Bercerita Sekolah Rendah - Teks Pertandingan Bercerita Sekolah Rendah Bulan Bahasa.

Blog ini dibina bagi mengumpul contoh-contoh karangan Bahasa Melayu yang sesuai untuk pelajar. Teks pertandingan bercerita tahap 2. Panduan asas untuk guru sekolah menguruskan.

Kertas konsep bercerita tahap 1 dan 2 flip ebook pages 1 7. Teks pengacara pertandingan bercerita tahap 1. Menderam - berbunyi seperti bunyi gendang besar 3.

Zarinah ismail nama peserta. Contoh teks pertandingan bercerita bahasa melayu sekolah rendah tahap 2. Teks bercerita tahap 1 sekolah rendah 2017.

Rendah teks pertandingan bercerita tahap 1. Teks cerita bahasa melayu untuk pertandingan. 510 teks cerita hendaklah dihantar kepada pihak pengelola sebelum.

Teks juruacara pertandingan bercerita kategori sekolah rendah. Cerita haji wida unduh sekarang. Pertandingan Bercerita Berunsur Islam - Sekolah Rendah.

Justeru Pertandingan Cerita Bahasa Melayu Sekolah Rendah Kategori Tahap 1 2 wajar dijadikan aktiviti pertandingan di peringkat sekolah daerah negeri dan kebangsaan. Ramai yang minta admin kongsikan Teks Bercerita untuk MTQ admin cari sikit-sikit dan ada jumpa kumpulkan dan upload. Teks pertandingan bercerita tahap 1.

Teks Bercerita Tahap 1 Sekolah Rendah 2017. Pertandingan Bercerita Cerita Rakyat Malaysia Tema. Contoh teks pembawa acara perpisahan sekolahdeskripsi.

Teks Cerita - Pertandingan Bercerita BM SK DATUK AKHIR ZAMAN 71200 RANTAU. Segar - tidak layu. Teks juruacara pertandingan bercerita kategori sekolah rendah.

Pertandingan bercerita dalam bahasa melayu sekolah rendah peringkat kebangsaan 1. Teks cerita bahasa melayu untuk pertandingan berita jakarta. Justeru pertandingan cerita bahasa melayu sekolah rendah kategori tahap 1 2 wajar.

BERCERITA SEKOLAH RENDAH KERTAS KONSEP 5342 Cerita yang dipilih perlulah bersesuaian dengan tahap umur murid. KB Menjanakan idea KP Konstruktivisme EMK. Sekolahkebangsaan sungai menghulu jalan batu asah 07000 langkawi kedah.

Si tanggang anak derhaka syair. 19042022 Teks cerita mtq sekolah rendah 2018. Murid-murid khususnya di peringkat sekolah rendah.

Penyertaan terbuka kepada murid-murid sekolah-sekolah. Singa yang sombong ellyana lumai selamat pagi dan salam sejahtera semua. Sang kancil pun beredar dari tempat itu.


Contoh Teks Pertandingan Bercerita Bahasa Melayu Sekolah Rendah Tahap 2 Hanssqw


Skrip Cerita Pertandingan Bercerita Bahasa Melayu


Pertandingan Bercerita Sekolahku Sejahtera 2022


Teks Pertandingan Bercerita Pdf


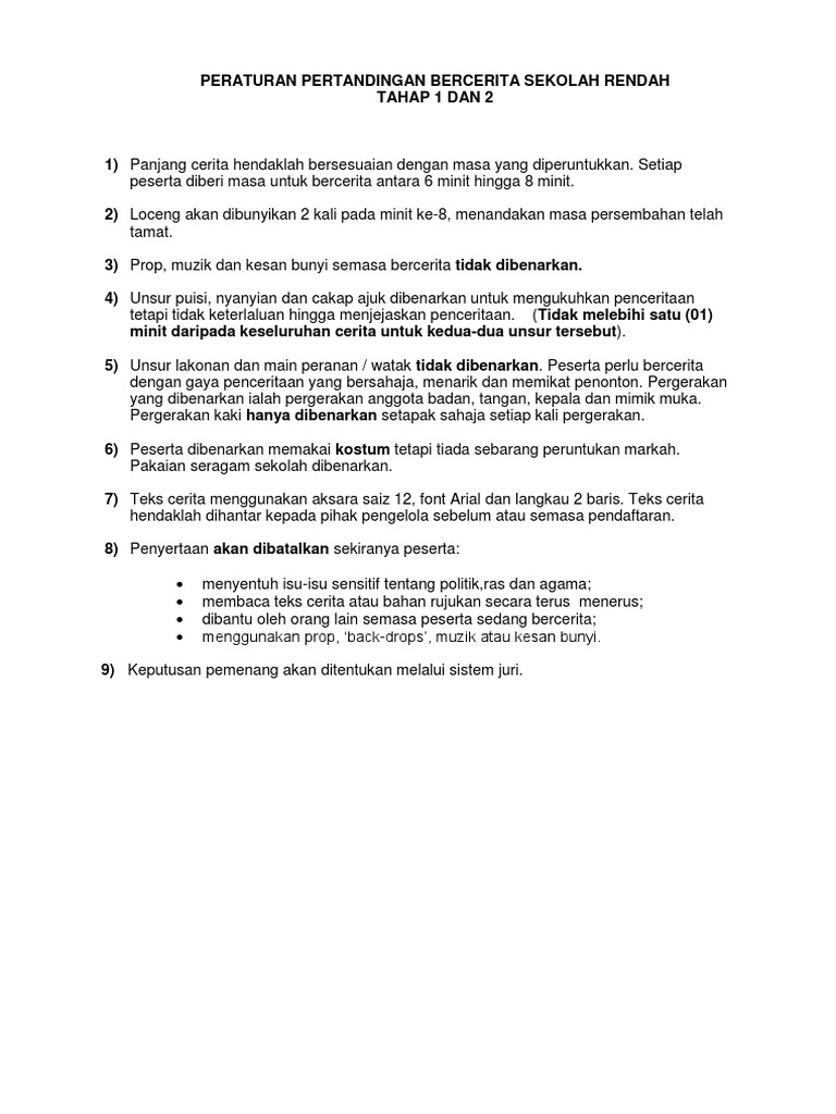
Peraturan Pertandingan Bercerita Sekolah Rendah Pdf


Pertandingan Bercerita Cerita Rakyat Malaysia 亚庇善导小学 Sjk C Shan Tao Kota Kinabalu


Contoh Teks Pertandingan Bercerita Bahasa Melayu Sekolah Rendah Tahap 2 Hanssqw


Teks Pertandingan Bercerita Tahap 2 Pdf


Skrip Pertandingan Bercerita Sains Thp2 Pdf


Skrip Cerita Pertandingan Bercerita Bahasa Melayu


Koleksi Teks Bercerita Mtq Pendidik2u


Doc Kertas Konsep Pertandingan Bercerita Bahasa Melayu Sekolah Rendah Malaysia Hassan Al Askariy Academia Edu


Contoh Teks Pertandingan Bercerita Sekolah Rendah Cadendsx


Pertandingan Bercerita Jabatan Pendidikan Negeri Johor Facebook


Doc Kertas Konsep Bercerita Sekolah Rendah Kementerian Pendidikan Malaysia 1 0 Pendahuluan Mic Tps Academia Edu


Skrip Bercerita Tahap 2 Pdf


Doc Pertandingan Bercerita Bahasa Inggeris Tahap 2 Bagi Karnival Ko Kurikulum Abu Zahid Academia Edu


Contoh Teks Pertandingan Bercerita Bahasa Melayu Sekolah Rendah Tahap 2 Hanssqw


Pertandingan Bercerita Sekolah Rendah Madalynngwf

Iklan Atas Artikel

Iklan Tengah Artikel 1